Hlavné menu
Navigácia
Úradná tabuľa
Naša obec
Samospráva
Dokumenty
Kontakty
Mapa stránok
|
Profil ver. obstarávania
|
Vytlačiť
SK
|
EN
A
A
A
Ozdín
OFICIÁLNE STRÁNKY OBCE
Hlavné menu
Hlavné menu
Samospráva
Obecný úrad
Školstvo
Dokumenty
Kontakty
Život v obci
Aktuality
Kultúra
Šport
História
Súčasnosť
Fotogaléria
Evanjelická cirkev a.v.
Rímskokatolícka cirkev
Terénna sociálna práca
Povinné zverejňovanie
Zmluvy
Archív zmlúv
Faktúry
Archív faktúr
Objednávky
Zápisnice OZ
Všeobecne záväzné nariadenia
Uznesenia
Verejné obstarávanie
Kalendár zvozu odpadu
Úradná tabuľa
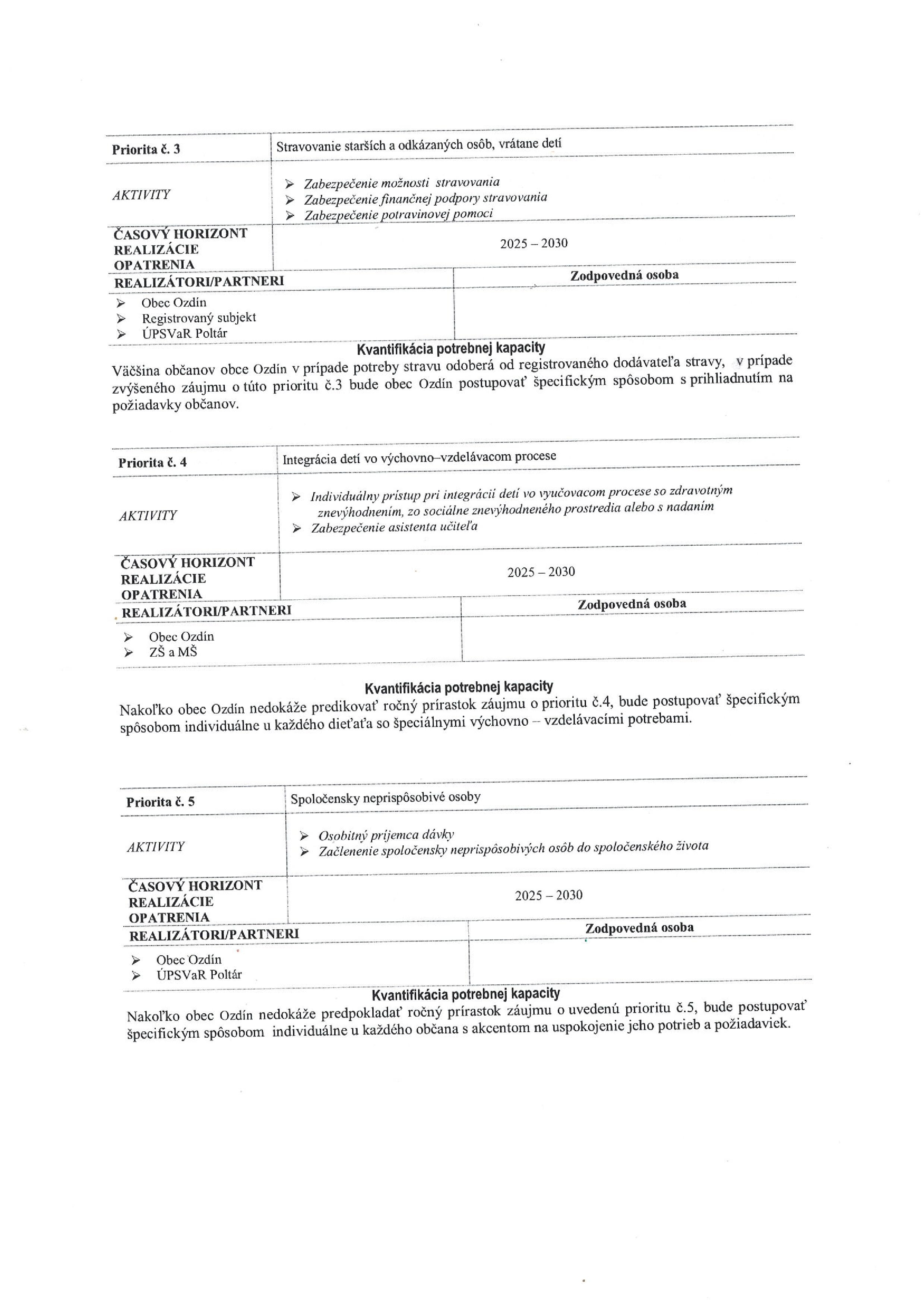
Návrh - Komunitný plán sociálnych služieb
15.10.2025
04 / 03 / 2026
POĎ ŠTUDOVAŤ NA ZELENÚ UNIVERZITU VO ZVOLENE
20 / 02 / 2026
Pozvánka LPS Ozdín
16 / 02 / 2026
Oznámenie výberového konania na TSP
11 / 02 / 2026
Komunálne a drobné stavebné odpady z obce
06 / 02 / 2026
Výstava Záhrada života - Soňa Krajčovičová
26 / 01 / 2026
Zverejnenie informácie o začatí správneho konania vo veci vydania súhlasu
26 / 01 / 2026
Oznámenie o zrušení TP
21 / 01 / 2026
NP A - PVP Asistencia pri usporiadaní vzťahov k pozemkov MRK
15 / 01 / 2026
Oznámenie OZ 30.01.2026
26 / 11 / 2025
Zámer predaja majetku z dôvodu hodného osobitného zreteľa
25 / 11 / 2025
Plán vývozu na rok 2026
19 / 11 / 2025
Schválený rozpočet na roky 2026-2028
1
2
...
18
Úradné hodiny
Pondelok:
07:30 - 12:00
12:30 - 14:30
Utorok:
07:30 - 12:00
12:30 - 14:30
Streda:
07:30 - 12:00
12:30 - 14:30
Štvrtok:
NESTRÁNKOVÝ
DEŇ
Piatok:
07:30 - 12:00
Fotogaléria
zobraziť
zobraziť
Kalendár